1.南科大深港微电子学院潘权团队在高速集成电路设计领域取得重要研究成果
2.中山大学实验室陈继尧副教授与合作者在激发态量子算法研究中取得新进展
3.上海交大人工智能学院程远团队发布全球首个偏振感算器“玄鉴”
4.上海交大李政道研究所伊合绵副教授与合作者:在镓元素薄膜中发现轨道杂化诱导的伊辛超导
5.上海交通大学人工智能操作系统研究院暨机载智能基础软件创新实验室成立仪式举行
1.南科大深港微电子学院潘权团队在高速集成电路设计领域取得重要研究成果
近日,南方科技大学工学院国家示范性微电子学院潘权教授团队在高速通信与光电集成电路设计领域再次取得重要进展,两个工作发表于国际固态电路会议(IEEE International Solid-State Circuits Conference,ISSCC),一个工作发表于光通信大会(Optical Fiber Communication Conference,OFC)。本次发表的成果包括一款高能效芯粒互连双向传输芯片、一款高能效高速芯粒互连与存储接口芯片,以及一款单片集成高速光电接收机芯片。
此外,潘权教授团队还在集成电路领域知名期刊IEEE Transactions on Circuits and Systems I: Regular Papers(IEEE TCAS-I)上发表了两篇论文,分别报道了一款采用电流复用型模拟前端(AFE)和单环路半速率无参考时钟数据恢复(CDR)的接收机,以及一款具备串扰消除与信号再利用功能的单端接收机前端。其中,关于串扰消除与信号再利用单端接收机前端的论文被IEEE TCAS-I 评选为2026年1月刊亮点文章。
ISSCC被学术界和工业界公认为集成电路设计领域的最高水平会议,享有“芯片奥林匹克大会”之美誉。该会议始于1953年,历来是国际最尖端集成电路技术的首发平台,每年吸引超过3000名来自全球工业界与学术界的参会者,每篇录用的论文均代表了芯片领域最前沿的研究成果。南方科技大学微电子学院潘权课题组今年入选的两篇论文的标题分别为:《A 72Gb/s/pin Single-Ended Simultaneous Bi-Directional Transceiver with C-Peaking Leakage Cancellation and Dual-Loop Hybrid Impedance Calibration for Chiplet Interfaces》和《A 72Gb/s/pin Single-Ended Driver-Cooperative Coded PAM3 Transceiver with Asymmetric Data-Dependent Equalization and Bias-Peaking for Chiplets and Memory Interfaces》,其中后者被评选为亮点论文(Highlighted Papers)。
OFC由美国光学学会(Optica)、IEEE通信协会(ComSoc)和IEEE光子学协会(LEOS)共同举办,是全球光通信领域规模最大、影响力最高的顶级学术与产业盛会。创办于1975年的OFC至今已有超过50年的历史,被公认为光通信行业的风向标,每年吸引超过16,000名专业观众和600余家参展商,是行业发布新品、建立合作、洞察未来的重要平台。
OFC每篇论文都代表着当前光通信领域最重要的发展方向。南方科技大学微电子学院潘权课题组今年有1篇论文入选,标题为:A Monolithic CMOS 28Gb/s PAM-4 Optical Receiver Front-End with Lateral-Enhanced P-Well/N-Well APD for VCSEL-Based Links。该工作被评选为高分论文(Top-Scored),并受到光波技术杂志期刊(Journal of Lightwave Technology,JLT)的邀稿。

图1 ISSCC线下汇报现场照片
论文1:高能效芯粒互连双向传输芯片
人工智能的爆炸式增长加速了高性能计算和高带宽互连的发展。为了持续提升互联接口的数据吞吐量,双向传输链路通过在信道两端同时发送和接收数据,显示出将系统吞吐量翻倍的潜力。然而,高速双向链路的设计面临着来自出栈信号的高频泄露问题和出入栈信号解耦系数精度问题。针对这两个双向传输链路的技术难点,南方科技大学团队提出了一款72Gb/s/pin的双向传输收发机芯片,其中采用了两项关键技术:一是电容峰化泄露消除技术,通过提取并前馈反相的高频泄漏分量来抑制高频泄露,将高频泄漏幅度从 148mV 降低到 55mV,抑制约63%,实现6倍的眼图开眼幅度的提升;二是双环路阻抗校准技术,使 hybrid 驱动阻抗能够同时跟踪主驱动和 的变化,从而提高出栈信号的消除精度,双环路阻抗校准技术在变化 20% 时将残余误差从最高 60mV 压低到 5mV 以下,降低约 92%。测试结果表明,通过使用所提出的关键技术,结合接收端FFE,该收发机芯片在72Gb/s的数据率下实现了0.45UI的无误码区间,接收端眼高提升至约 244mV,整体能效达到 1.5pJ/b,显示出其在高带宽密度芯粒接口中的竞争力。图2展示了双向传输芯片的电路架构图,功耗分布图以及测试结果。

图2 双向传输芯片的电路架构图,功耗分布图以及测试结果
博士生程旭旭是论文的第一作者,深港微电子学院潘权教授为论文的唯一通讯作者,南方科技大学深港微电子学院为论文的唯一单位,该论文得到了深圳市科技计划项目经费的支持。
论文2:高能效高速芯粒互连与存储接口芯片
随着人工智能与云计算应用的快速发展,芯粒互连与存储接口需要在有限功耗下实现更高的数据吞吐能力,这推动了高速、低功耗单端有线收发机的持续演进。近年来,PAM3信令因其相较NRZ可提供1.5倍带宽效率、且相较PAM4具有更好的噪声与串扰容限,正成为新一代高密度短距互连的重要候选方案。然而,PAM3信号对码间干扰更为敏感,不同跳变边沿之间的切换抖动也会导致眼宽收缩和信号完整性恶化。针对这一问题,南方科技大学团队提出了一款面向芯粒与存储接口的72Gb/s/pin单端PAM3收发机。该设计采用驱动协同编码与阻抗校准跨阻放大器终端协同优化,在提升信号完整性的同时将信令功耗降低46%;进一步通过预加重非对称数据相关均衡与bias-peaking技术,有效缓解PAM3不同边沿的ISI与切换抖动,将眼图面积分别提升1.9倍和2.8倍。此外,论文还提出了1/8速率前向时钟倍频方案,实现了低功耗、宽范围的去偏斜操作。测试结果表明,该收发机在28nm CMOS工艺下实现了72Gb/s/pin的数据速率,在48Gb/s和72Gb/s下的能效分别达到0.7pJ/b和1.17pJ/b,展现出面向下一代高带宽、低功耗存储与芯粒互连系统的应用潜力。图3展示了存储器接口芯片的电路架构图,功耗分布图以及芯片结果。

图3 存储器接口芯片的电路架构图,芯片图,功耗分布图以及芯片结果
博士后吴泓志是论文的第一作者,深港微电子学院潘权教授为论文的唯一通讯作者,南方科技大学深港微电子学院为论文的唯一单位,该论文得到了国家自然科学基金和获得深圳市科技计划项目经费的支持。

图4 线上汇报实况
论文3:单片集成高速光电接收机芯片
近年来,具有850 nm波长的垂直腔面发射激光器(VCSEL)凭借其高带宽连接特性,在数据中心得到广泛应用。新兴的共封装光学器件(CPOs)采用 VCSEL 技术,可进一步缓解异构集成光模块在可扩展性和功耗方面的挑战。为降低对应光模块的封装复杂度并降低成本,在光接收机前端中,业界采用CMOS片上光电探测器(PD)替代III-V族PD,从而缩短光器件到跨阻放大器电路的传输距离,避免封装寄生效应,实现光器件与专用集成电路(ASIC)的全集成。然而,这种全集成接收系统的主要性能瓶颈仍在于CMOS PD的响应度与带宽,并显著限制系统的速率和误码率。
团队从光器件和接收机前端电路入手,基于28-nm CMOS工艺实现了一款面向VCSEL光链路应用的28 Gb/s PAM-4接收机该芯片将PD和跨阻放大器电路集成在一块芯片上,在CMOS工艺上实现了单片集成方案。芯片采用10um×10um受光面积的PD,通过横向插指和浅沟隔离等技术突破了CMOS PD带宽、响应度低等技术瓶颈。同时,在跨阻放大器电路中采用全反相器设计,并插入精心设计的级间电感,显著降低功耗和带内噪声。该研究为低成本、低功耗的高速光接收机设计提供了一种具有实用价值的技术方案,达到了目前国内外CMOS全集成光接收机的最高速率。

图5 高速光电接收机芯片系统架构及芯片性能展示
詹东深为论文的第一作者。詹东深是南科大23级硕士研究生(也是南科大2023届本科毕业生),深港微电子学院潘权教授为论文的唯一通讯作者,南方科技大学深港微电子学院为论文的唯一单位,该论文主要得到了深圳市科技重大专项经费的支持。
团队相关论文
论文1:X. Cheng, H. Wu, Z. Li, W. Wu, X. Luo, Y. Zhang, Q. Pan, "8.9 A 72Gb/s/pin Single-Ended Simultaneous Bi-Directional Transceiver with C-Peaking Leakage Cancellation and Dual-Loop Hybrid Impedance Calibration for Chiplet Interfaces," 2026 IEEE International Solid-State Circuits Conference (ISSCC), San Francisco, CA, USA, 2026, pp. 150-152, doi: 10.1109/ISSCC49663.2026.11409339.
论文链接:https://ieeexplore.ieee.org/abstract/document/11409339
论文2:H. Wu, X. Cheng, Y. Zhang, X. Luo, Z. Li, W. Wu, Quan Pan, "A 72Gb/s/pin Single-Ended Driver-Cooperative Coded PAM3 Transceiver with Asymmetric Data-Dependent Equalization and Bias-Peaking for Chiplets and Memory Interfaces," 2026 IEEE International Solid-State Circuits Conference (ISSCC), San Francisco, CA, USA, 2026, pp. 624-626, doi: 10.1109/ISSCC49663.2026.11409257.
论文链接:https://ieeexplore.ieee.org/abstract/document/11409257
论文3:D. Zhan, H. Wang, X. Luo, Y. Zhang, Z. Yao, W. Zhou, Z. Li, H. Wu, D. Zhou, and Q. Pan, "A Monolithic CMOS 28Gb/s PAM-4 Optical Receiver Front-End with Lateral-Enhanced P-Well/N-Well APD for VCSEL-Based Links," in Optical Fiber Communication Conference (OFC), Los Angeles, USA, 2026.
论文链接:https://www.ofcconference.org/schedule/#/Thursday
论文4:Z. Li, W. Zhou, W. Xiao, X. Luo and Q. Pan, "A 50 Gb/s PAM-4 Receiver Featuring Current-Reuse AFE and Single-Loop Half-Rate Reference-Less Bang-Bang CDR in 40-nm CMOS," IEEE Transactions on Circuits and Systems I: Regular Papers, vol. 73, no. 3, pp. 1900-1912, March 2026, doi: 10.1109/TCSI.2025.3620088.
论文链接:https://ieeexplore.ieee.org/abstract/document/11214700
论文5:Y. Zhang, L. Zhong, T. Fan, X. Luo, H. Wu, X. Cheng, W. Wu, W. Zhou, D. Xu, Q. Pan, "A 2 × 80 Gb/s Single-Ended TAS-TIS PAM-4 Receiver Front-End With Crosstalk Cancellation and Signal Reutilization in 28-nm CMOS," IEEE Transactions on Circuits and Systems I: Regular Papers, vol. 73, no. 1, pp. 126-139, Jan. 2026, doi: 10.1109/TCSI.2025.3591536.
论文链接:https://ieeexplore.ieee.org/abstract/document/11099549
2.中山大学实验室陈继尧副教授与合作者在激发态量子算法研究中取得新进展
在量子多体体系中,低能激发谱决定了材料与量子物质的大量关键性质,例如准粒子结构、相变行为以及动力学响应等。如何高效而准确地求解多体系统的低能激发态,是凝聚态物理、量子化学和量子计算中的核心问题之一。随着量子计算逐步进入可处理更大规模量子比特的“megaquop”阶段,利用当前含噪量子器件研究多体系统激发谱,正成为展示量子计算实际效用的重要方向之一。
近日,中山大学物理学院、广东省磁电物性分析与器件重点实验室陈继尧副教授与合作者提出了一种基于切空间的激发态量子算法,将张量网络中基于切空间的激发态思想推广到参数化量子线路框架中。该方法从多体体系中的准粒子图像出发,在已优化好的变分基态线路周围构造切空间,通过在基态线路不同深度插入局域扰动门并进行动量叠加,系统逼近低能激发态;它既包含传统单模近似作为特例,又能借助深层线路中的算符传播效应有效表征空间支撑更大的激发结构,从而显著提升对低能激发态的刻画能力。研究团队在一维和二维横场Ising模型上验证了该方法的有效性,结果表明,该方法能够以较高精度捕获大量低能激发态,并在与已有激发态量子算法的比较中展现出明显优势。该方法还可用于笼目晶格海森堡反铁磁体激发谱和一维海森堡链动力学自旋结构因子的计算,并可在当前量子硬件上实现。该成果为研究量子多体体系中的低能谱、准粒子结构和动力学响应提供了新工具,也为探索量子计算在凝聚态物理和材料问题中的实用优势开辟了新方向。

基于切空间的量子线路激发态拟设示意图与原理图
相关研究成果以《Tangent Space Excitation Ansatz for Quantum Circuits》为题于2026年4月发表于《Physical Review Letters》上。中山大学物理学院为该论文的第一署名单位,物理学院陈继尧副教授为第一作者兼共同通讯作者,维也纳大学Norbert Schuch教授、香港大学/柏林自由大学曹晨风博士、中国科学院物理研究所/北京凝聚态物理国家研究中心博士生杨沐春为共同通讯作者,共同作者中国科学院物理研究所/北京凝聚态物理国家研究中心博士生黄泊琛与周端陆研究员也做出了重要贡献。上述工作得到了国家自然科学基金、国家重点研发计划等项目、广东省磁电物性分析与器件重点实验室、广东省磁电物性基础学科研究中心(物理学)的大力支持。
3.上海交大人工智能学院程远团队发布全球首个偏振感算器“玄鉴”
4月14日,上海交通大学人工智能学院程远课题组在智能感知与光电计算交叉方向取得重要进展。团队在Nature Sensors发表最新成果——“Self-reconfigurable polarization perception in dual-anisotropy heterostructures for high-dimensional in-sensor computing”,发布全球首个偏振感算器“玄鉴”PolarSight SPU。该成果首次将偏振感知阵列与光神经网络前端深度融合,使系统能够在获取偏振信息的同时完成前端特征处理与计算,为全场景通用智能感算系统提供了新的技术路径。程远副教授为论文通讯作者。
研究背景:光里还藏着一层传统视觉难以利用的信息
今天的大多数视觉系统主要依赖亮度、颜色和空间纹理来理解世界。但真实世界中的光并不只有这些信息。除了明暗和色彩之外,光还携带着偏振这一重要维度。偏振能够反映物体表面结构、材质属性、微观纹理以及复杂环境中的散射特征,是人眼难以直接感知、传统成像系统也常常难以充分利用的一类隐藏信息。
这意味着,在各类视野受限场景中,例如低照度、低对比度、复杂材质干扰、散射环境和动态遮挡条件下,现有视觉系统从输入端开始就丢失了部分关键信息。很多原本存在于光中的线索,在进入传统传感器后就被压缩或舍弃,后续算法只能围绕不完整的输入继续处理。
因此,下一代机器人视觉系统的关键,不只是后端模型更强,也在于能否从感知入口开始,保留并利用这些长期被忽视的光学信息。

偏振高维传感计算架构示意图
该架构将偏振敏感器件阵列集成至光学神经网络感知端,通过垂直晶格取向实现偏振维度的原生感知与可重构计算。
技术突破:从传感器到“感算器”
围绕这一问题,程远副教授团队联合韩国科学技术院Joonki Suh教授团队及多家国际研究机构,提出并实现了全球首个偏振感算器“玄鉴”。
玄鉴并不是传统意义上只负责采集信号的传感器,也不是单纯放在后端执行运算的处理器。它把偏振感知与前端计算合并在同一物理入口中,是一种兼具感知与处理能力的新型硬件单元。团队将这一类器件定义为Sensing-Processing Unit,简称SPU。
这项工作的核心突破,在于将偏振感知阵列直接接入光神经网络前端,使系统在接收光信息的同时完成特征增强、信息重组和部分非线性处理。传统视觉链路通常遵循采集、传输、计算的流程,而SPU把其中一部分处理能力前移到了感知入口。
更重要的是,SPU具备自重构能力。它能够根据入射光的偏振状态形成不同响应模式,在同一前端中生成互补的信息通道。这样一来,进入后续网络的不再只是单一强度图像,而是经过前端主动组织后的可计算表征。偏振不再只是额外信息,而成为系统可直接利用的处理资源。

自重构偏振感知的核心机制
传感器阵列在不同角度偏振光激发下呈现多种响应模式,实现全光学自重构,为高维特征提取提供物理基础。
应用落地:在视野受限场景中提升感知能力
在真实环境中,感知系统经常面临各类视野受限场景,例如低照度、低对比度、雾霾散射、强反光、复杂材质干扰以及动态遮挡等。在这些条件下,传统视觉系统对目标的分辨能力会明显下降,很多关键目标在普通强度图像中难以被稳定识别。这也是自动驾驶、机器人感知和复杂环境视觉系统长期面临的共性问题。
研究团队将SPU接入光神经网络前端,构建端到端混合光电视觉架构,在视野受限任务中同时处理连续帧的强度信息和偏振信息。结果表明,基于SPU的系统在目标识别性能上显著优于传统光学方案,并接近先进电子神经网络水平。夜间场景是这一能力的重要验证场景之一。
进一步分析显示,在视野受限条件下,传统强度传感器输出往往难以充分拉开不同目标之间的特征差异,而SPU通过互补响应通道保留了更多隐藏偏振线索,使目标在进入后续网络之前就已经具备更好的可分性。系统性能的提升,不仅来自后端模型,也来自输入端信息质量的改善。

基于自重构偏振传感器阵列的高维动态视觉处理
在三维动态感知中融合空间、时间与偏振信息
为了进一步验证系统处理复杂信息的能力,研究团队提出空间与偏振联合编码方法,将三维物体不同深度的切片信息映射到不同偏振角度中。通过这种方式,原本分散在空间中的结构信息被组织为前端可直接处理的偏振序列。
在运动车辆方向识别和动态三维物体分类等任务中,基于SPU的光神经网络均表现出明显优势。实验结果表明,SPU不仅适用于二维图像,还能够有效融合空间、时间和偏振多个维度的信息,展示出其作为新一代视觉入口的潜力。

三维动态物体识别的感算器实现
未来展望:为下一代视觉系统重写第一层
这项工作的重要意义,在于它证明了视觉系统的性能提升不仅可以依赖更强的后端模型,也可以来自更聪明的输入端。
本研究让机器第一次真正获得了一种面向隐藏光学信息的前端能力。它把原本会在采集阶段丢失的偏振信息,转化为可以直接参与处理与判断的有效表征;把传统视觉链路中分离的感知与计算进一步拉近;也把感知设备从记录世界的入口,推进为理解世界的起点。
随着制备工艺和集成规模的进一步提升,SPU有望在全场景AI落地持续拓展应用。团队相关感算一体系统研究成果已在高端制造、机器人等场景中批量产业化并完成大规模部署,支撑面向Agentic AI的实时感知、前端计算与闭环决策,为下一代光计算系统和端侧视觉系统提供了新的前端架构思路。
上海交通大学人工智能学院程远副教授与韩国科学技术院Joonki Suh教授担任通讯作者,博士后朱文轩、博士生张若凡、本科生路茗淳、严骏驰教授等均对本文做出重要贡献。该研究得到了国家自然科学基金及产业项目资助。
论文链接 :https://doi.org/10.1038/s44460-026-00057-9
4.上海交大李政道研究所伊合绵副教授与合作者:在镓元素薄膜中发现轨道杂化诱导的伊辛超导
近日,上海交通大学李政道研究所&物理与天文学院长聘教轨副教授伊合绵与美国宾夕法尼亚州立大学物理系Chao-Xing Liu教授和Cui-Zu Chang教授合作团队在Nature Materials上发表了题为“Orbital-hybridization-induced Ising-type superconductivity in a confined Gallium layer”的研究论文,揭示了镓元素薄膜中由轨道杂化诱导的伊辛型超导态。
从“本征依赖”到“界面制造”的范式转变
在传统超导体中,库珀对遵循BCS理论,处于自旋单态,其上临界磁场受限于泡利顺磁极限。一旦外加磁场超过这一极限,自旋反向的电子对便会因塞曼效应而破裂。而在伊辛型超导体中,由于空间反演对称性破缺,自旋轨道耦合相互作用将电子的自旋锁定在面外方向,从而赋予库珀对抵御面内强磁场的能力。此前,这一特性仅在过渡金属硫化物(如MoS₂、NbSe₂)或锡烯等含重元素的二维体系中被观测到。
本研究中,团队独辟蹊径,不再受限于材料的本征属性,而是转向对微观界面的精细操控。研究人员创新性地采用了一种“无等离子体介入、仅由碳缓冲层辅助的限域外延技术”,成功制备出在大气环境下稳定存在的三明治结构的异质结:将厚度仅为三个原子的镓薄膜,限制在双层石墨烯覆盖层与碳化硅衬底之间(图1)。在这种超薄的量子限域环境下,原本自旋简并的元素镓,其电子结构和自旋性质发生了根本性的改变。

图1: 碳缓冲层辅助限域外延的石墨烯/三层镓/碳化硅异质结以及超导性质表征
超越泡利极限:在原子质量较轻的Ga薄膜中发现巨大的面内上临界磁场
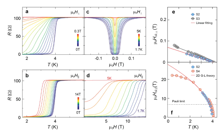
低温电输运测量结果显示,该三层镓薄膜异质结在400 mK下展现出高达21.98特斯拉的面内上临界磁场。这一数值不仅远超常规超导体的理论上限,更达到泡利顺磁极限的3.38倍(图2),证实了水平强磁场下库珀对可以稳定存在以及典型的超越“泡利极限”特征。

图2:石墨烯/三层镓/碳化硅异质结中的超越泡利极限现象
微观机制揭秘:原子轨道杂化诱导“自旋 - 谷锁定”效应
为什么较轻的镓元素超导体可以违反泡利极限?研究团队结合高分辨角分辨光电子能谱与理论计算,阐释了其背后的微观物理图像(图3)。在布里渊区K(K')能谷处,角分辨光电子能谱测量捕捉到了清晰的劈裂费米面,结合理论计算,发现了对应费米口袋上的伊辛型自旋织构。理论研究发现,底层镓原子与碳化硅衬底的硅原子之间存在强轨道杂化。这种界面效应重塑了镓层中库珀对的波函数,人为诱导出了通常仅在重元素材料中存在的能带劈裂和“自旋 - 谷锁定”效应。该机制将电子自旋锁定在面外方向,从而有效抵御面内强磁场的破坏。此外,团队通过将杂质散射引起的弛豫时间纳入理论模型,成功复现了异质结中测得的上临界磁场-温度相图(图4)。

图3: 石墨烯/三层镓/碳化硅异质结中具有劈裂费米面和伊辛型自旋织构的特征

图4: 原子轨道杂化诱导的三层镓薄膜中的伊辛超导
开启“人工设计”非常规超导物态的新路径
这项工作确立了一种探索非常规超导物态的新思路:利用量子限域与界面轨道杂化的协同效应,在更广泛、易获取的轻元素体系中,构建具有自旋保护特性的库珀对。这一突破不仅摆脱了对特定重元素材料的依赖,更为基于大尺寸晶圆的超导器件集成及低功耗自旋电子技术开辟了切实可行的新路径。
上海交通大学李政道研究所&物理与天文学院的长聘教轨副教授伊合绵,美国宾夕法尼亚州立大学物理系Chao-Xing Liu教授和Cui-Zu Chang教授担任共同通讯作者。共同第一作者包括伊合绵副教授、宾夕法尼亚州立大学博士生刘昀哲、助理研究教授董承业以及英国牛津大学杨伊珩博士。此外,美国宾夕法尼亚州立大学Joshua A. Robinson教授、Vincent H. Crespi教授,牛津大学陈宇林教授,北德克萨斯大学Yuanxi Wang助理教授,以及浙江大学胡仑辉研究员等也参与了该项合作研究。
论文原文 :https://www.nature.com/articles/s41563-026-02573-y
5.上海交通大学人工智能操作系统研究院暨机载智能基础软件创新实验室成立仪式举行
2026年04月13日


4月10日,上海交通大学人工智能操作系统研究院暨机载智能基础软件创新实验室成立仪式在上海交大举行。学校携手中国航空工业集团、南方电网人工智能科技有限公司、博泰车联网科技(上海)股份有限公司等,凝聚多方力量,共筑智能基础软件自主创新高地。

